热点资讯
电子转移如何驱动电催化?
发布日期:2026-04-28 23:30 点击次数:97
本文华算科技从电子转移理论出发,系统阐述了质子耦合电子转移的协同机制与热力学描述,探讨了均相和多相电化学体系中的界面电子转移特性,引入振动非绝热理论解释氢隧穿效应,并结合恒电势方法与微观动力学建模为电催化反应机理研究提供理论框架。
电子转移如何发生?
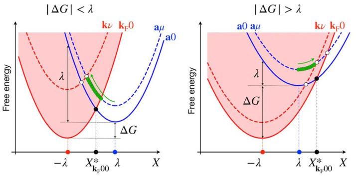
在电化学反应中,任何复杂的转化最终都可拆解为包含至少一个电子转移步骤的基元反应。经典的电极动力学通过唯象模型(如Butler-Volmer方程和Tafel方程)将宏观电流与施加的电极电势联系起来。然而,要真正理解电子转移的本质,必须深入到微观的势能面与量子力学层面。

图1 还原态(Red)与氧化态(Ox + e⁻)的经典抛物线势能面交叉图
由Marcus、Hush、Gerischer以及Dogonadze等人发展出的微观电荷转移理论,构成了现代电子转移研究的基石。根据反应物与电极表面电子耦合的强度,电子转移可分为绝热与非绝热两种极限情况:
非绝热电子转移:
当电子耦合强度极弱时,反应物势能面与产物势能面的交叉分裂非常小。系统即使到达了过渡态(势能面交叉点),电子发生跃迁的概率依然很低,反应可能沿着原势能面返回。这种反应的速率高度依赖于电子耦合常数,并且可由费米黄金定则来描述。
绝热电子转移:
当反应物与电极的电子耦合作用较强时,势能面在交叉处发生显著的分裂。只要系统获得足够的活化能到达过渡态,电子转移就必然会发生。在这类反应中,前指因子与电极材料的本性关系不大,其速率主要由外部溶剂的重组动力学所控制,这就是典型的外相电子转移过程。
在上述理论中,重组能(λ)是一个决定电子转移速率的关键参数。重组能由两部分组成:
内层重组能:源于电荷转移前后溶质分子内部几何结构(如键长、键角)的变化。在计算中,常采用“四点法”通过计算不同氧化还原态在彼此平衡几何结构下的能量差来获取。
外层重组能:源于伴随电子转移而发生的溶剂分子平动和旋转重排。在理论计算中,常将其视为置于电介质连续体中球形空腔内的点电荷,或使用极化连续介质模型(IEF-PCM)将溶剂的电子极化与惯性极化响应分离开来,从而精确描述电荷的重新分布。

图2 使用积分方程形式的极化连续介质模型(IEF-PCM)来计算电化学溶剂外层重组能的三种理论框架示意图。
什么是质子耦合电子转移(PCET)?
在诸多电化学转化中,单纯的电子转移往往伴随着巨大的热力学能垒。为了降低高能中间体的生成,自然界和人工电化学系统演化出了质子耦合电子转移(PCET)机制。在此过程中,电子和质子的转移发生耦合,这种耦合深刻改变了反应的路径与化学选择性。
从机理图景来看,PCET包含两种截然不同的路径:
分步机制
电子和质子分先后进行转移(即ET-PT或PT-ET)。这种分步过程必然会生成带有净电荷的高能瞬态中间体(如高活性的自由基阳离子或阴离子)。
协同机制(Concerted PCET或EPT):
电子与质子在同一个基本步骤中协同转移。通过避免生成高能的带电中间体,协同PCET能够极大地降低反应的活化能垒。这种机制赋予了电化学转化能够在较温和电位下打破极其坚固的化学键(如高键解离能的E-H键)的能力。

图3 经典的 PCET “方形机理图。
在热力学层面,PCET反应的驱动力依赖于系统的氧化还原电位(E∘)和酸碱解离常数(pKa)。
对于协同PCET,反应的有效键解离自由能(BDFE)可以通过等键反应循环和计算氢电极(CHE)模型来精确量化。CHE模型巧妙地将标准状态下的质子–电子对的化学势与气态氢分子联系起来,从而允许研究者在不显式计算溶剂化质子或游离电子绝对能量的情况下,预测各种PCET中间态的热力学稳定性。
基于CHE模型计算出的反应自由能可以进一步绘制为Pourbaix图(即电势-pH相图),其中水平线代表纯电子转移(ET),垂直线代表纯质子转移(PT),而对角线则直观地映射了质子耦合电子转移(PCET)的发生边界。

图4 计算电极电势(CHE模型)生成的理论与实验对比的 Pourbaix 图(电势-pH相图)。
均相与多相电化学系统中的电子转移
根据电极在反应中扮演的角色,电化学电子转移(特别是PCET)可被划分为均相和多相两类物理过程:
均相电化学电子转移
在这种机制中,电极仅仅充当一个纯粹的“电子蓄水池”,并不直接参与化学键的断裂或形成。氧化还原分子在电极–溶液界面保持溶剂化状态,电子在电极与分子之间发生隧穿,而质子转移则完全发生在分子内部或分子与周围溶剂/缓冲对之间。
这种系统通常表现为弱的电子耦合,属于外相转移范畴。其反应速率不仅受到界面双电层(EDL)中局部电场和静电势分布的深刻影响,还高度依赖于电极费米能级附近态密度(DOS)的分布。
多相电化学电子转移
在此类反应中,电极不仅提供或接收电子,还直接参与了化学键(通常是金属–氢键或金属–氧键)的生成与断裂。

图5 多相 Volmer 反应(金属表面质子放电)的反应物与产物透热电子态(Diabatic electronic states)的物理图景示意图。
最经典的例子是Volmer反应(质子放电生成吸附态氢)。多相PCET跨越了从弱电子耦合到强电子耦合的广阔区域,反应物通过化学吸附与电极表面产生强烈的相互作用。因为涉及复杂的界面成键,多相电子转移的活化能不仅包含溶剂重组的贡献,还必须克服打破和重组分子骨架的巨大势垒。
质子为何能隧穿?
当电子转移耦合了质量极轻的质子时,经典的过渡态理论(基于基态势能面)将失效,因为其无法涵盖氢隧穿效应和激发态电子–质子振动能级的影响。为此,理论化学家发展了振动非绝热PCET理论。
在该理论框架下,系统被描述为多个电子–质子振动量子态的乘积。质子被完全量子化处理,其在供体与受体之间的转移不再是越过经典势垒,而是表现为振动波函数的空间重叠(Sμν)。
对于均相电化学PCET,由于电子隧穿距离较长,反应通常相对于质子运动处于电子非绝热极限。此时,反应的振动耦合常数Vμν等于电子耦合常数Vel与质子振动波函数重叠积分Sμν的乘积。

图6 以仿生 BIP 分子为例,展示了还原态(蓝)与氧化态(红)的质子势能面曲线,以及高度量子化的“质子振动波函数”的分布与重叠。
结合费米黄金定则,PCET的电流密度或速率常数需要对电极中所有占据的电子能级进行积分。速率常数不仅取决于重组能和热力学驱动力,更受到质子波函数重叠的指数级调制。这种量子力学处理成功解释了电化学反应中反常的动力学同位素效应(KIE)。

图7 堆叠的反应物(蓝)与产物(红)的 Marcus 抛物线簇。图中密集的抛物线代表了电极中连续的电子能级与反应物不同振动能级的耦合。
研究表明,由于激发态质子振动能级的广泛参与,同位素效应表现出强烈的电势依赖性,这是经典物理模型无法预测的量子动力学特征。
在多相电子转移(如质子在金属电极表面的放电)中,发展出了DKL模型以及Anderson-Newns-Schmickler哈密顿量模型。这些模型将电极视为具有连续电子态的宽带系统,并明确引入了质子与溶剂声子浴的线性耦合。
在溶剂弛豫时间与振动耦合强度的博弈中,电子转移的速率能够在“黄金定则极限(受耦合常数控制)”与“溶剂控制极限(受溶剂极化弛豫时间控制)”之间进行平滑插值与演化。

图8 融合非绝热性与溶剂动力学的统一理论框架示意图。
恒电势如何影响反应路径?
电化学电子转移与其他化学过程的核心差异在于,其始终处于一个由外加恒定电势控制的开放系统中。然而,传统的密度泛函理论(DFT)等量子化学计算通常是在“恒定电荷”的正则系综中进行的。在电子转移过程中,为了维持系统的人工电中性,这种计算会导致费米能级(即电极电位)发生剧烈的漂移。
为了真实还原电化学界面上的电子转移环境,理论上引入了大正则系综(GCE)。在GCE框架中,电化学系统被视为与一个巨大的电子源(恒电位仪)相连,系统的电子数Ne可以自由波动,以维持恒定的电子化学势。

图9 绝对大正则势能面随反应路径的演变图。
通过勒让德变换,恒电荷状态下的能量可以映射到大正则势(Ω),从而使我们能够变分地最小化体系能量,获得真正恒电势条件下的反应活化能。
在实际的动力学建模中,这些通过恒电势方法(或电荷外推、晶胞外推方法)获得的高精度电子转移能垒,被输入到微观动力学模型中。微观动力学放弃了通常的“决速步”假设,通过求解大规模的速率方程组,重构出包含复杂并联/串联电子转移路径的反应网络。

图10 结合了第一性原理计算与微观动力学模型的结果展示。气泡大小与箭头粗细直观反映了中间体的摩尔分数与反应通量在不同电位下的动态切换。
这种系统层面的建模不仅能重现宏观的循环伏安图和Tafel斜率,还能揭示反应在不同过电位下电子转移路径的动态切换。
